Operaciones Matemáticas
jueves, 18 de junio de 2015
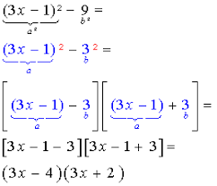
Identité remarquable a² - b²
No hay comentarios.:
Publicar un comentario
Entrada más reciente
Entrada antigua
Página Principal
Suscribirse a:
Comentarios de la entrada (Atom)
No hay comentarios.:
Publicar un comentario